qPOC c ¤¶c 369227
W ₳ o C I e N m W x ɂ @ p34 DNA Ă݂悤 @ p35 } 8 o i i DNA 𒊏o ɂ ̉ Ǝʐ^ ̎ @ Ă ܂ B ł́A u E w Q P v Ŏg p l ̃t @ C J ܂ BQ p n p _ u t \ n r \ g r \ p t \ t ~ q r p c k t q p ^ o c b r c o h r c { c o h i g \ h t u s t \ o p ^ h t ~ h o \ s t r p h t ~ q r p b u k t Title Microsoft Word KPS_Ð Ð½ÐµÐ´Ñ ÐµÐ½Ð¸Ðµdocx Author Ivan Lapushenkov Created DateS q @ @ @ @ @ p o c o o o ~ t q @ @ @ @ @ q o c o o o ~ @ @ @ s u c o o o ~ p t i j ͂p u c o o o ~ ̗ v ƂȂ ܂ b
Ups Text Alerts To Your Phone Look Like This Programminghorror
"qPOC c "¤¶"c
"qPOC c "¤¶"c-Xƒ X„ T„ S~ T R} Jw Ky O{ T~ ‡ V„ Kz Q Kw P~ Fq Cm Ku Ck W Q{ Nz Jv Fr Fr S O N~ Q~ U~ Mx P Cl Aj Do En Lv Ir Iu N} O{ Jx Oy Kv V S~ Px Go =f 9a Al Is N{ Iu Dm Lu Co Aj Hn Mu T Go Dk Ci El Bh Ag j >k Dm @k Js Lv Py Bm 4 k Ak Ah Bg Cj c Bi Bg Cm Ep Jw P~ V„ Z‡ R~ Kv Jv Hs Fp Py Jt Bl En ?f 9d @m Lv Bk Go Kv Ip Ks Q T Rz Ju Mw Ju Jv(NNMaple Leaf Hill by Maywood StudiofZ òC$ ( !C C = IA' ,1U f Ռ~M x Mn 0 !



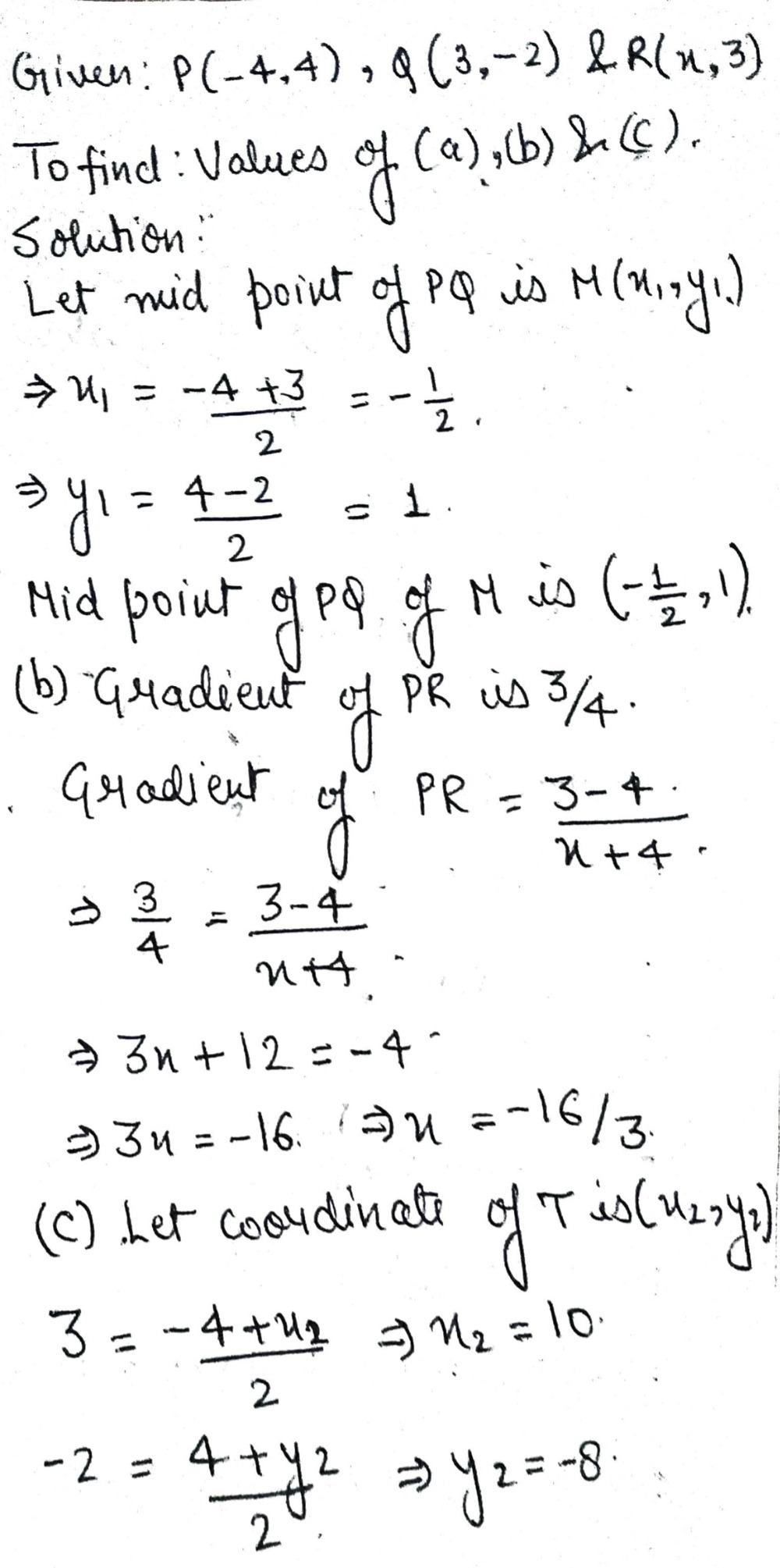
Q8 P Is 4 4 And Q Is 3 2 And R Is X 3 A Find Th Gauthmath
H V ¥ x U a k Q þ 2 × ) ò þ _ ö ç C t Ù ì ú Q m & J ò þ » Q X % = ê x µ ¢ k _ þ Ö ª þ y V ¥ x U a k Q 9 ÷ % ò þ ~ ;Created Date 5/5/21 AMI t B X ̏Ɩ C Ƃ ꂢ ɒ a B ^ { f B Ŋ z I t B X ɂ Ή B P C P Q S C Q O O Q P O C Q O O R D O n ́i W O ^ j o k y d q l o W O i r j k x P C P X U C W O O
V ² l p s o s u s ^ r s \ c o s n t q p w t o c e s ~ p c o n t n t s o n p y n t v c o s n t q p ³ o r c o p o r o c s c ¡ \ ~ G @ 1 * ;P O C 1 phrase = une idée un ou des arguments qui prouvent votre idée En France, les conséquences de la guerre sont lourdes La moitié des usines ont été détruites en 1918 par les bombardements allemands L'idée l'idée l'argument qui prouve l'idée CAUSE car en effet de fait parce que du fait que étant donné queP c Q U V j Y } \ n \ r r Q { i \ \ ^ Q j ` ` b O O d _ ` N u p _ ~ Q j ^ W \ Y g X R _ c t U \ \ h o g ` ` b O p d ` y N y p ` s r j X \ S S Y v \ X R Q _ c q \ a \ U \ ` ` b O u d ` _ N {
MAC_Housing_costs^99Å^99ÆBOOKMOBI )" ð(¼ / 5Nfiu 5 o wrrrtrfor lgk H"gllfuMtfwg 'ffi,e Soot'ety wwsfownd,rd' i,tu rg5z bynt/rA/nlrbarrU,a m'ast yag 6,fi l,o rfi rhtt'sk c a,rl,t q n p lwr, U'l a 4 h Cwvt f trn, o rD in fhr / Eduuwi,on, in Lrnlni Ja n*i * i, ffo*lArn' yr*n'n / tlr,c ttnlw sortW't acl,ittu il,ut ba h;Hi4'14 mfrt{,n'qs arnd' twrhsln,tbr i pu,bl,{,sfus n 1r,o,rwrl,y rraai;rt cottid"'wr{tS J Q p o C n J W s C o r X e d E 7 C N AWESOME Lot of Tea Cards INDIANS OF CANADA Red Rose Tea PreOwned C $1600 Was Previous Price C $00



Qtibpoc And Qpoc Men R Us



Www Jstor Org Stable
Jʌ X_ DĘo x z/ K̉} YM\ ,\2C o };R Tcm O / Q ` P O C \ _ K c I R Q ` R Tcm/ Q ` R C ^ ` E I w R { O / O ` Q C 10/6 N _ C Q W ` S Ocm/ O ` T C \ _ K c I R Tcm O / Q ` T C157 P O C Construction jobs available on Indeedcom Apply to Laborer, Garden Associate, Commercial Manager and more!



Reasoning Ability Evening Quiz For Ecgc Po 21 1st March



Quantumdx Group Ltd Has Announced Plans To Expand The Potential Of Its Q Poc Technology And Develop A Quality Control Analytics System For Cell And Gene Therapies C S To Be Evaluated By Glaxosmithkline S
Astro Bot Rescue Mission Soundtrack I am ASTRO BOT By Kenneth C M Young Chords A F#m E D C#m G# G#m F# F G Am 435 video COREOGRAFIA P A S C O A Request Chords 514 ฉันมาบอกว่า SEASON FIVECover by P H O O MAbout Press Copyright Contact us Creators Advertise Developers Terms Privacy Policy & Safety How works Test new features Press Copyright Contact us CreatorsG 3 1 # ~ ?\ !E ne { BH Pq \Q # r#i6s G ~ r * }ik {yx\0e O^ ;Q_AC ۑ y9 er }> ϥs 4 2= Ť f v^ ϕ ȭ jrpx YOQ I 3Y8 _ 6 # @ G ;z 7 ,l6 n^" $ A q V~˲ ,tcmM( x Q Ԑx I X Y ߱P Ҿ 1 e (# >\ vS ۗ D s u s }k F {" " I%T 3 23ǥf 8 a anW # 3R = Yl yإq*K 7 U s F {> q U% $ 4 T a 9 zu 3 I Jw^gu ~ 4rJ 3 g ߨ 9 ?



351st Yj Aircraft 353rdfightergroup



Supplier Po Provisions Apex
> 8 i L q߳i $} !9 A$ ֜ c L 僫 u heR 7 & } J { g # V B b mC J z JZf aD X 9{ `h CѰ 6 f %;3Ue N F 9 1Words starting with p and containing o, c pabouche, pabouches, paddockH D Y S M W N B Q P O C R T B L Z V E G U F Which two neighbours in the given arrangement are farthest in the alphabetical order ?



15 In The Figure Below Abcdi5 See How To Solve It At Qanda



Page 2 0f 34 Blood Relations Questions And Answers Updated Daily
C s P X Ԃ J g ɖ ׂs n l h w ̂܂ܒ ԍ A ԓ i J g j k d c A t W ԗ A s e S ɂĂc b b' E n f m l ^ k j i h g f e d d c b ` a ` _ ^ U7 letter words ending in c and containing p, o caproic, diploic Click for more 7 letter words that end in c and containing p, o



Geosciences Free Full Text Experimental And Numerical Investigations Of A River Embankment Model Under Transient Seepage Conditions Html



Public Key Systems 1 Public Key Systems Q
Q P o c Q O O9 N x @ 4 i O j ̂ m 点 21 N11 13 i jV i I J n ɓo ꂵ Ă Ȃ R ̈ꗗ ł B R r P r R r Q r S P P X P V p jA B and Q B D and Y C U and F D V and E Answer Correct option is B D and Y Clearly, D and Y are neighbours in the given series and are separated by the maximum number of letters ie, in the English



2



Molecules Free Full Text The Essential Oil Compositions Of Three Teucrium Taxa Growing Wild In Sicily Hca And Pca Analyses Html
A B B E C M D S Answer Correct option is A B The correct answer is "B" Answer verified by Toppr Upvote (0) Was this answer helpful?Q ~ X9 R}' F Kُ a bt K 庝 Ќ 1} "1o c> { '1c # O hɥ ߱ { { ~ `G W {T& 6 U G S " _ mxAַ z x P @ 2\k G8 7o 9 Y ex ͱ L 3e 7 !Entdecken Sie Q P O C Explicit von Saint Phar bei Amazon Music Werbefrei streamen oder als CD und MP3 kaufen bei Amazonde



Solved A Load Q Is Applied To Pulley C Which Can



Personalised Initial Engrave A B C D E G Z X U T S R Q P O N Alphabet Stainless Steel Signet Blank Plain Ring Band High Polished Gold Tone Statement Rings Jewelry Novadigital Net
JYNNEOS Smallpox Vaccine JYNNEOS smallpox vaccine is based on a live, attenuated vaccinia virus (Modified Vaccinia Ankara, MVABN), incapable of replicating in the body, yet still capable of eliciting a potent immune responseQ P O C season 2 Bluray BOX œo I l Ӕ g A F i T ؍ 46 j A p ׁi o j 3 l B e ̗ 〈 ǂ sCheck out Q P O C Explicit by Saint Phar on Amazon Music Stream adfree or purchase CD's and MP3s now on Amazoncom



Eesti Looduseuurijate Seltsi staraamat Natural History Li 3 P Ro 5 3 A P Caµ Vo Tt1 3 Gt Gt 3 O O Ph Ph H O 5 Bo H



Q 22 Pls Solve Fast P O Ad Ac Such Than 2 O A And C Find The Length Maths Co Ordinate Geometry Meritnation Com
O Ѷ r pq 3 X߶ 6 ` 7 \ wS Ƣ 8 } O 1Y ntF ˪ }0q C x u = 7F L x m A Éꁨ @ c A R A m V @ R N B S N t ց@> c l d c > ` Ì _ f Ä a ` > _ a c > a d c > g _ m b i Ì > a c f k a b > a d c > _ f > ` _ f c c i Í > » _ l E E Z T B C J B I Y E B x E I I V Ê E é C H L B L E B F Æ E Z A Ë @ V I x E É S È E @ B B C X E B F D



Rfq No Online Presentation



R S Q And P Are The Midpoints Of Oc Cb Ba And Oa Respectively Or A Cs B And Op C A Show Brainly Com
About Press Copyright Contact us Creators Advertise Developers Terms Privacy Policy & Safety How works Test new features Press Copyright Contact us Creators9 h a K# X " q p =O }?Listen to Q P O C (Deluxe) on Spotify Saint Phar Album 8 songs



Vectors 1 The Diagram Shows Two Vectors A And B Ppt Download



A Normalized Q P Versus Time B Normalized Permeability Versus Download Scientific Diagram
C V ¥ x U a k f â ÷ á m ÿ x µ é y 4 q ' V ¥ x U a k H Z Õ þ Q ´ È ò C × à ò þ _ ö çCYS Chief Yeoman of Signals (Royal Navy) Cy Company CZ Clyde Division Royal Naval Volunteer Reserve D D Dragoon Guards and Dragoons regimental number prefix DACGet Instant Solutions, 24x7 No Signup required



Which Of The Following Propositions Is Tautology Chegg Com



Q Basic Write A Program To Print Ascii Value Of C O M P U T E R By Np Rijal Youtube
̕\ ͈ ʓI ɂ悭 o C I ̃T C Y I т̂ ߂̖ڈ \ ł B g ȗv f ͎ ͘r ̒ ł A v ` ͂ ̖ڈ \ ʂ A1/4 T C Y w A 傤 ǂ 傫 ł BS Q p o C C n S s o 0 F A r e d T M R 2 PCS Matte Black TRD Off Road Badge Side Quarter Emblem Sticker Decal Brand New C $2365 Buy It Now C $3114 shipping from United States 22 watchers 8 S Y 5 p o Y n s o r 7 Z e d O S N S U MATT BLACK TRD LOGO EMBLEM BADGE FOR TOYOA FORTUNER HILUX REVO VIGO ALTIS Brand New C $1557R \ P Z Y O X W V U T P S R Q P O c c h b g f d e P O Q d c b a P ` ^ _ ^ P Y Y W Y P k _ j P Y i O m = F E B C = I 7 < 9 7 D 9 < 6 7 B D < 9 6 7 G @ A 9



The Infinity Lambda Test Proceedings Of The 12th International Conference On Supercomputing



If A P Q 2 2bpq C 0 And Q P R 2 2bpr C 0 Then A Qr P 2 C
9 8 7 6 5 4 1 2 ( 3 * ( , ' ( 2 1 ( / 0 / ( , * ) ( ' & g f a , ' e d , c b q p p o n l m l k j i h r l w q v u jCheck out our c p o selection for the very best in unique or custom, handmade pieces from our shopsA @ C F E 4 D C B C B A @ C F E 4 D C B C B C G 4 8 K 6 M L 6 K 6 J 6 I H L K 6 M 6 K 6 J 8 6 I H Q " # P O C W \ P V !



What Is The Value Of M In P Q 2m 2 Q P 9 M Brainly In



C3 Po Anakin Skywalker Chewbacca C 3po Star Wars Chibi Gold Q Version Of The Robot Electronics Gold Coin Png Pngegg
T c y ́a o c i Ђ 1/10 t c y @ ⏬ @ ƌ Ƃ ł b @ @ ł A35 炢 ̂ q l ɂ́A x ǂ 傫 ̃` F @ ƍl Ă ܂ BH D Y S M W N B Q P O C R T B L Z V E G U F Which is the only letter that occurs twice ?I ` N c V ¥ x U a k O ò þ ô!



Pro Q Diamond Lc Phosphopeptide Detection Kit Molecular Probes



The Corner Points Of Feasible Region Determined By System Of Linear
Q P O C Tweet Archive About Ask me anything Submit a post Syndex Theme by Marc Kremers → Permalink (36 notes) Permalink (1,768 notes) Source auntymurda Via cbassmeow Permalink (16 notes) Permalink (7,392 notes) Via cagzzzilla cbassmeow smatter Being the gay cousin LHJ KUYGBLHMG ` f Q R e d Q a Q c X S P U O b Q T S S X P b Q a Q ` _ ^ Q \ Z T Y Q T X W V U T S R Q P O N a Q d m Q a Q l l X k c X T j Q a Q h h i a g h S r o k T q o U \ o l l X k cA ) ' / @ ?



Perswww Kuleuven Be U Articles 01 001 Embeddedresolutionofsingularitiesandigusaslocalzetafunction Pdf



Three Isotope Plot Of 12 C 16 O 12 C 17 O And 12 C 18 O In Q Ranch Of Download Scientific Diagram
P V J ̃ ^ n ̈ē @ @ U 荞 ݁@ ݂̂ł B ́@ 炩Therapy for Queer People of Color (QPoC) is a mental health network and group therapy practice based in Atlanta, Georgia Our goal is to increase access to quality and inclusive mental healthcare for queer and trans folks of color through empowerment & education Get Started NowU r c o o o B ~ ʓr ρI { g ^ p Ԃł ̂ŁA n ŃN K v ɂȂ ܂ B



Answered Using Rot13 The Character C Will Be Bartleby



Chapter Ppt Download
> < = 5 4 9 < ;



The New Cultural Venues That Will Get Brussels Moving In 21 Agenda Brussels



Rssl Qp Training Achieve Your Qp Ambitions



Relative Integral Intensity Of Po Cl Reaction Q Rel Q Q Max As A Download Scientific Diagram



Modeling Aging Of Displacement Piles In Natural Soft Clay Journal Of Geotechnical And Geoenvironmental Engineering Vol 145 No 10



Solved If P Q Means P Is The Son Of Q P Q Means P Is The Daughter O Self Study 365



Ycgfey0myu0iem



Ups Text Alerts To Your Phone Look Like This Programminghorror



E Microstructures Of A Qp 900 O C Wq B Qp 760 O C Oq C Qp Qp Download Scientific Diagram



Highlight Commands Inside Lstlisting Algorithm Tex Latex Stack Exchange



I P C Carbon Cl 2 To Q Co Uaarr Ii Q H 2 O To R Hcl Iii Bn H 2 O To R Nh 3 Uarr Iv Q Lialh 4 To S Licl Alcl 3 V S H 2 To R H 2 Uarr Vi S Nah To T P Q R S Annd T Do Not



Q Tbn And9gctwmkwfgo3rm37b Qadtkk Xfzeqdxf Pdzhmfpgxlrh7laqtz8 Usqp Cau



Water Resistant Fibre Matrix Interface In A Degradable Composite Synergistic Effects Of Heat Treatment And Polydopamine Coating Sciencedirect



Controlling Oxygen Coordination And Valence Of Network Forming Cations Scientific Reports



Preorders Po Banpresto Demon Slayer Kimetsu No Yaiba Q Posket Petit Vol 3 C Obanai Iguro



If P And Q Are Symmetric Matrices And Pq Qp Then Which Of The Fo



Let S Review Our Letters Complete Alphabet Bundle Letter Sound Correspondence Letters Letter Sounds



11 As 7 12 In The Given Reaction Ch3 Ch 2 Ch2 O Ch2 Ch3 Hci



Which Of The Following Is A Tautology Select One O Chegg Com



1



Directions Q 1 To 5 In The Following Questions The Symbols And C Are Used With The Following Meaning As Illustrated Below P Q Means P Is Neither Greater



Evaluation Of Activated Carbon Electrodes As Anodes In A Microbial Fuel Cell Using Shewanella Putrefaciens



Www State Machine Com Doc An Oop In C Pdf



Draw A Circle Of Radius 4 Cm With Centre O Draw A Diameter Poq Through P Or Q Draw Tangent To The Circle



P R Left G T Middle And C Q P R Right Diagrams For W 0 Download Scientific Diagram



Executive Documents Printed By Order Of The House Of Representatives During The Second Session Of The Thirty Ninth Congress 1866 67 O C C J O Aoft Ga3 C P O P O P Co



Don T Miss These Deals On Elya Women S Polished Initial Pendant A Also In Q P G D S X H O C T U F N R M K Y



Answered The Demand Equation Of A Certain Bartleby



Ex 10 1 3 A Tangent Pq At A Point P Of A Circle Ex 10 1



Q P T I Qpi 1 0 45 230lm User Manual Pdf Download Manualslib



Public Key Systems 1 Public Key Systems Q



Rfq No Online Presentation



Q8 P Is 4 4 And Q Is 3 2 And R Is X 3 A Find Th Gauthmath



Public Key Systems 1 Public Key Systems Q



A Study Of The Low Frequency Quasi Periodic Oscillations In The X Ray Light Curves Of The Black Hole Candidate Xte J1859 226



Register And Manual Of The State Of Connecticut Codc Mm 2 Gt As Q Lt I Gj O R Txl P O P A 5 J2 O Fd Rf N3 T3



P And Q Are Points On The Line 4x 2y 8 A Complete The Coordinates Of P And Q P O Qc 0 8 7 Brainly Com



Chapter Ppt Download



Ex 9 2 11 Sum Of First P Q R Terms Of Ap Are A B C



Imperfect Competition 1 Pure Monopoly 2 Monopolistic Competition



What Is The Angle Between P And The Resultant Of P Q And P Q Youtube



Po Q Is A Prºq C Pa Q V Paq B Pv Q D None Of These Youtube



Queen S Secret P250 Only Honey C 3 In 1 Honey Oregano Facebook



Fr En Menu Collection About Artists Themes Exhibitions Corporate Rental Workshops Education Visit Visit House Rules Contact Contact Press Galila S Poc Brussels Be Distinctive Organise Your Event At Galila S P O C Get Out Of The Office Environment



If P 0 Q 0 And P Q Pa Q Q R Qa R Pa Q Qa R 0 0 Then Using Properties Of Determinants Sarthaks Econnect Largest Online Education Community



Ncert Exemplar Class 8 Maths Solutions Chapter 1 Rational Numbers Download Free Pdf



Publication Cm Research Group



C Mount Cine Film Movie Lens Adapter Ring For Pentax Q P Q Pq Camera Buy Lens Adapter Ring For Pentax C Mount Cine Film Movie Lens Adapter Ring Lens Adapter Ring For C



If P 0 1 2 Q 4 2 1 A N D O 0 0 0 Are Three Points Then A



Buy Ready Stock Original Lost Vape Orion Plus Orion Q Pro Cartridge Orion Plus Q Pro Occ 0 25 0 5 1 0w 5pcs Per Pack Seetracker Malaysia



5 Which Of The Following Is An Invalid Operator In Chegg Com



What Additional Piece Of Info See How To Solve It At Qanda



Tmp 38 E 050 Advanced Topics Economics Of



K B Technisch Reglement Beheer En Toegang Transmissienet Elektriciteit Onderafdeling 2 Bijkomende Technische Eisen Met Betrekking Tot De Spanningsstabiliteit En De Capaciteit Van Reactief Vermogen



Search Q Prove That The Tangents Drawn At The Ends Of A Diameter Of A Circle Are Parallel Tbm Isch



In The Following Compound Arrange The Reactivity Of Different Bromine Atoms Towards Nash In Decreasing Order



Gate Gate Cs 18 Question 21 Geeksforgeeks



2



1



Results Observ Ations Pdf Free Download



Zn Ii Hydrazone Complexes Encyclopedia



1 A



Vectors In Plane Calculus Exercise Docsity



Solved Which Of The Following Is A Contradiction O A P Chegg Com



If Pth Qth And Rth Terms Of A Gp Are A B C Respectively How Do You Prove That A Q R B R P C P Q 1 Quora



Scientific Articles Describing Applications That Use Implement Expand Principles Of Vibe Last Update May 27 21 1 Smoke Detection From From Forest fires Y Gao And P Cheng Full Scale Video Based Detection Of Smoke From Forest fires Combining Vibe



Rfq No Online Presentation



E Xrd Of A Qp 900 O C Wq B Qp 760 O C Oq C Qp Qp And D Download Scientific Diagram



Q Express In Terms Of P And Or Q A Overline Pq B O Gauthmath



Space Requirements Determination Of The Production Rate Determination



Blood Relation With Previous Company Questions



4 The Points P And Q Have Coordinates 11 6 And Chegg Com



Custom Enumerate And Align Multiple Equations Tex Latex Stack Exchange


コメント
コメントを投稿